近日,中国热科院南亚所芒果研究中心在芒果糖分代谢调控机制研究中取得重要进展。该研究系统揭示了芒果中两个果糖激酶基因——MiFRK1和MiFRK2,通过调控果糖代谢,在果实糖分积累与能量代谢中发挥关键作用,为芒果品质的遗传改良提供了新的理论依据和分子靶点。
前期研究表明,MiFRK1和MiFRK2在高糖品种“台农1号”和低糖品种“热农1号”中表达量存在显著差异,且MiFRK2基因编码区在两个品种之间存在多个单核苷酸多态性(SNP)位点。然而,这些基因是否编码具有功能的果糖激酶,SNP差异是否影响其酶活性,以及它们如何参与调控果实糖含量,尚不明确。

图1 转基因番茄果实中FRK活性与F6P含量分析
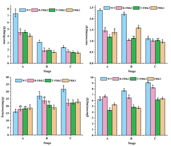
为深入探究上述问题,研究团队将MiFRK1及分别来源于“台农1号”和“热农1号”的MiFRK2(分别命名为T-MiFRK2与R-MiFRK2)导入番茄植株进行功能验证。结果显示,过表达MiFRK1或MiFRK2均能显著提高果糖激酶活性,催化果糖磷酸化生成果糖-6-磷酸(F6P),推动其进入下游代谢途径,最终抑制果实中糖分的过度积累。值得关注的是,来源于低糖品种的R-MiFRK2过表达植株,其果糖激酶活性显著高于高糖品种的T-MiFRK2过表达植株。

图2 转基因番茄果实不同发育阶段主要碳水化合物含量变化
进一步机制研究表明,MiFRK1与MiFRK2可通过调控蔗糖降解、淀粉分解及糖酵解途径中关键基因的表达,影响糖代谢的整体流向。此外,两者在上述代谢调控中表现出一定程度的功能分化,提示它们在代谢网络中可能承担不同的生物学角色。

图3 糖代谢相关基因表达热图
该研究首次系统阐明芒果果糖激酶在糖代谢调控中的功能机制,不仅深化了对果实品质形成机理的认识,也为未来通过代谢工程手段培育糖分适宜、风味优良的水果新品种提供了重要基因资源和理论支撑。
相关研究成果已于国际学术期刊《Plants》上发表,论文标题为“Mango Fructokinases Inhibit Sugar Accumulation and Enhance Energy Metabolism in Transgenic Tomato”。农业农村部热带果树生物学重点实验室固定成员、中国热科院南亚所助理研究员郑斌为论文第一作者,广西亚热带作物研究所李丽副研究员为通讯作者。研究得到了海南省自然科学基金(322MS117、325MS124)与广西自然科学基金(2023GXNSFBA026292、2025GXNSFAA069329)等项目的资助。
全文链接:https://www.mdpi.com/2223-7747/14/22/3526
近日,中国热科院南亚所芒果研究中心在芒果糖分代谢调控机制研究中取得重要进展。该研究系统揭示了芒果中两个果糖激酶基因——MiFRK1和MiFRK2,通过调控果糖代谢,在果实糖分积累与能量代谢中发挥关键作用,为芒果品质的遗传改良提供了新的理论依据和分子靶点。
前期研究表明,MiFRK1和MiFRK2在高糖品种“台农1号”和低糖品种“热农1号”中表达量存在显著差异,且MiFRK2基因编码区在两个品种之间存在多个单核苷酸多态性(SNP)位点。然而,这些基因是否编码具有功能的果糖激酶,SNP差异是否影响其酶活性,以及它们如何参与调控果实糖含量,尚不明确。

图1 转基因番茄果实中FRK活性与F6P含量分析
为深入探究上述问题,研究团队将MiFRK1及分别来源于“台农1号”和“热农1号”的MiFRK2(分别命名为T-MiFRK2与R-MiFRK2)导入番茄植株进行功能验证。结果显示,过表达MiFRK1或MiFRK2均能显著提高果糖激酶活性,催化果糖磷酸化生成果糖-6-磷酸(F6P),推动其进入下游代谢途径,最终抑制果实中糖分的过度积累。值得关注的是,来源于低糖品种的R-MiFRK2过表达植株,其果糖激酶活性显著高于高糖品种的T-MiFRK2过表达植株。

图2 转基因番茄果实不同发育阶段主要碳水化合物含量变化
进一步机制研究表明,MiFRK1与MiFRK2可通过调控蔗糖降解、淀粉分解及糖酵解途径中关键基因的表达,影响糖代谢的整体流向。此外,两者在上述代谢调控中表现出一定程度的功能分化,提示它们在代谢网络中可能承担不同的生物学角色。

图3 糖代谢相关基因表达热图
该研究首次系统阐明芒果果糖激酶在糖代谢调控中的功能机制,不仅深化了对果实品质形成机理的认识,也为未来通过代谢工程手段培育糖分适宜、风味优良的水果新品种提供了重要基因资源和理论支撑。
相关研究成果已于国际学术期刊《Plants》上发表,论文标题为“Mango Fructokinases Inhibit Sugar Accumulation and Enhance Energy Metabolism in Transgenic Tomato”。农业农村部热带果树生物学重点实验室固定成员、中国热科院南亚所助理研究员郑斌为论文第一作者,广西亚热带作物研究所李丽副研究员为通讯作者。研究得到了海南省自然科学基金(322MS117、325MS124)与广西自然科学基金(2023GXNSFBA026292、2025GXNSFAA069329)等项目的资助。
全文链接:https://www.mdpi.com/2223-7747/14/22/3526